Rumus Memilih Jarak Titik Tengah Dari Kedua Diagonal Trapesium
Dalam postingan kali ini, kita akan mengulas terkena bahan yang berkaitan dengan kesebangunan yaitu tepatnya cara memilih jarak titik tengah dari kedua diagonal suatu trapesium. Banyak yang mengganggap soal ini susah untuk dipecahkan saat gres pertama kali melihatnya. Bagaimana tidak susah? alasannya petunjuk pada soal sangat minim sekali yaitu spesialuntuk diketahui panjang dua sisi sejajar pada trapesium. Namun, kalau diterlusuri lebih lanjut ternyata cara menyelesaikannya juga sangat simpel dan rumusnya juga sangat minim atau simpel untuk diingat. Untuk memilih rumusnya coba perhatikan klarifikasi diberikut
Untuk sanggup memahami penurunan rumus jarak titik tengah dari kedua diagonal trapesium, anda harus memahami dulu konsep kesebangunan pada segitiga dan konsep hubungan sudut pada garis sejajar.
Perhatikan trapesium diberikut
Trapesium ABCD memiliki diagonal AC dan BD. Titik E ialah titik perpotongan antara diagonal AC dan BD. Titik F ialah titik tengah diagonal AC yang membagi dua garis AC sehingga AF = CF dan titik G ialah titik tengah diagonal BD yang membagi dua garis BD sehingga BG = DG.
Perhatikan bahwa segitiga ABE, segtiga, CDE, dan segitiga FGE yakni segitiga-segitiga yang sebagun atau ABE CDE FGE. Hal ini, alasannya sudut-sudut yang bersesuaian dari ketiga segitiga tersebut yakni sama besar.
Dari kesebangunan segitga ABE dengan segitiga CDE diketahui panjang sisi-sisi yang bersesuaiannya yakni AB bersesuaian dengan CD, BE bersesuaian dengan DE, dan AE bersesuaian dengan CE. Sehingga diperoleh perbandingan sisi-sisi yang bersesuaian
Dalam hal ini kita akan memakai bentuk perbandingan

Dari gambar trapesium, kita juga memperoleh bahwa
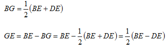
BG = DG (Karena G ialah titik tengah dari BD)
Sehingga,
Dari kesebangunan segitga ABE dengan segitiga FGE diketahui panjang sisi-sisi yang bersesuaiannya yakni AB bersesuaian dengan FG, BE bersesuaian dengan GE, dan AE bersesuaian dengan FE. Sehingga diperoleh perbandingan sisi-sisi yang berseuaian
Dalam hal ini kita akan memakai bentuk perbandingan
Dari persamaan-persamaan sebelumnya didapat
Jadi, untuk memilih jarak titik tengah dari kedua diagonal suatu trapesium kita sanggup memakai rumus
melaluiataubersamaini
FG = jarak dua titik dari kedua diagonal suatu trapesium
AB dan CD = ialah panjang sisi sejajar dari suatu trapesium (jika dalam rumus luas biasanya disimbolkan dengan a dan b)
Demikianlah tadi terkena rumus menentukkan jarak titik tengan dari kedua diagonal suatu trapesium, supaya bermanfaa.
Untuk sanggup memahami penurunan rumus jarak titik tengah dari kedua diagonal trapesium, anda harus memahami dulu konsep kesebangunan pada segitiga dan konsep hubungan sudut pada garis sejajar.
Perhatikan trapesium diberikut
Trapesium ABCD memiliki diagonal AC dan BD. Titik E ialah titik perpotongan antara diagonal AC dan BD. Titik F ialah titik tengah diagonal AC yang membagi dua garis AC sehingga AF = CF dan titik G ialah titik tengah diagonal BD yang membagi dua garis BD sehingga BG = DG.
Perhatikan bahwa segitiga ABE, segtiga, CDE, dan segitiga FGE yakni segitiga-segitiga yang sebagun atau ABE CDE FGE. Hal ini, alasannya sudut-sudut yang bersesuaian dari ketiga segitiga tersebut yakni sama besar.
Dari kesebangunan segitga ABE dengan segitiga CDE diketahui panjang sisi-sisi yang bersesuaiannya yakni AB bersesuaian dengan CD, BE bersesuaian dengan DE, dan AE bersesuaian dengan CE. Sehingga diperoleh perbandingan sisi-sisi yang bersesuaian
Dalam hal ini kita akan memakai bentuk perbandingan

Dari gambar trapesium, kita juga memperoleh bahwa
BG = DG (Karena G ialah titik tengah dari BD)
Sehingga,
Dari kesebangunan segitga ABE dengan segitiga FGE diketahui panjang sisi-sisi yang bersesuaiannya yakni AB bersesuaian dengan FG, BE bersesuaian dengan GE, dan AE bersesuaian dengan FE. Sehingga diperoleh perbandingan sisi-sisi yang berseuaian
Dalam hal ini kita akan memakai bentuk perbandingan
Dari persamaan-persamaan sebelumnya didapat
Jadi, untuk memilih jarak titik tengah dari kedua diagonal suatu trapesium kita sanggup memakai rumus
melaluiataubersamaini
FG = jarak dua titik dari kedua diagonal suatu trapesium
AB dan CD = ialah panjang sisi sejajar dari suatu trapesium (jika dalam rumus luas biasanya disimbolkan dengan a dan b)
Demikianlah tadi terkena rumus menentukkan jarak titik tengan dari kedua diagonal suatu trapesium, supaya bermanfaa.







0 Response to "Rumus Memilih Jarak Titik Tengah Dari Kedua Diagonal Trapesium"
Posting Komentar