Menyelesaikan Soal Barisan Dan Deret Yang Hanya Diketahui Dua Sukunya
Selasa, 09 Oktober 2018
Barisan dan Deret,
Matematika,
Matematika SMA,
Matematika SMK,
Matematika SMP
 Edit
 Akan sangat praktis menuntaskan soal-soal barisan dan deret aritmetika maupun geometri apabila diketahui barisan atau deretnya maupun  cukup dengan suku pertama, beda dan banyak suku. Namun bagaimana caranya apabila dalam soal spesialuntuk diketahui dua buah sukunya saja? Bahkan suku-suku yang diketahui tidak berurutan.
 
Tenang dan tidakboleh gelagapan hal itulah yang dilakukan apabila menemukan soal-soal menyerupai itu. Sebenarnya soal yang menyerupai disebutkan di atas sangat praktis diselesaikan. Kita sanggup memakai konsep penyelesaian dalam sistem persamaan linear dua variabel dalam menyelesaikannya kalau itu terkait soal barisan atau deret aritmetika dan memakai perbandingan terhadap dua suku apabila itu ialah soal-soal deret geometri. Lantas bagaimana caranya?
 
Nah, kini kita akan bahas problem tadi mulai dari barisan dan deret aritmetika. Sebelumnya kita harus mengingat kembali beberapa rumus dari barisan dan deret aritmetika yaitu rumus suku ke-n dan rumus jumlah n suku pertamanya
Rumus Suku ke-n (Un)
 
Rumus Jumlah n Suku Pertama (Sn)
 
melaluiataubersamaini
a = suku pertama
b = beda
 
Selain, rumus di atas kita juga harus memahami konsep dalam menentukan penyelesaian dari sistem persamaan linear variabel yaitu dengan metode substitusi maupun eliminasi. Jika anda belum memahami maetode substitusi dan eliminasi atau mungkin lupa silahkan baca artikel Memilih Metode Yang Paling Cepat Dalam Menyelesaikan SPLDV. Selanjutnya kita eksklusif saja mempraktekan dalam penyelesaian soal barisan dan deret yang spesialuntuk diketahui dua sukunya
 
misal 1
Dari suatu barisan aritmetika diketahui suku ke-5 yaitu 22 dan suku ke-12 yaitu 57. Suku ke-15 barisan ini yaitu ...
Penyelesaian
U5 = 22 --> a + 4b = 22 .........1)
U12 = 57 --> a + 11b = 57 .......2)
Dari persamaan 1) dan 2) eliminasi a
  
 
 
 
 
 
 
 
Substitusi b = 5 ke persamaan 1)
a + 4(5) = 22
a + 20 = 22
a = 22 - 20
a = 2
 
Un = a + (n - 1)b
U15 = 2 + (15 - 1)5
= 2 + (14)5
= 2 + 70
= 72
Jadi, suku ke-15 barisan tersebut yaitu 72
 
misal 2
Diketahui suku ke-3 dan suku ke-8 suatu barisan aritmetika berturut-turut 2 dan -13. Jumlah 10 suku pertama deret tersebut yaitu ...
Penyelesaian
U3 = 2 --> a + 2b = 2 ............1)
U8 = -13 --> a + 7b = -13 .......2)
Dari persamaan 1) dan 2) eliminasi a
 
 
Substitusi b = -3 ke persamaan 1)
a + 2(-3) = 2
a - 6 = 2
a = 2 + 6
a = 8
 
Sn = (n/2)(2a + (n - 1)b)
S10 = (10/2)(2(8) + (10 - 1)(-3))
= 5(16 + 9(-3))
= 5(16 - 27)
= 5(-11)
= - 55
Jadi, jumlah 10 suku pertama deret tersebut yaitu -55
 
Untuk soal soal berkaitan dengan barisan dan deret geometri, kita juga harus mengingat kembali rumus-rumus yang dipakai dalam barisan dan deret geometri yaitu:
Rumus Suku ke-n (Un)
 
Rumus Jumlah n Suku Pertama
  
melaluiataubersamaini
a = suku pertama
r = rasio dari barisan
 
Untuk, menuntaskan problem barisan dan deret geometri yang spesialuntuk diketahui dua sukunya, kita sanggup memakai konsep perbandingan. Untuk lebih jelasnya perhatikan pola soal diberikut:
misal 1
Suku ke-3 dan suku ke-5 barisan geometri dengan suku-suku faktual berturut-turut yaitu 18 dan 162. Suku ke-8 barisan tersebut yaitu ...
Penyelesaian
U3 = 18 --> ar2 = 18
U5 = 162 --> ar4 = 162
  
  
ar2 = 18
a32=18
9a = 18
a = 2
 
Un = arn-1
U8 = 2 (3)8-1
= 2 (3)7
= 2 (2187)
= 4374
Jadi, suku ke-8 barisan tersebut yaitu 4374
 
misal 2
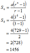
Diketahui suatu deret geometri memiliki suku-suku faktual , suku ke-3 = 36 dan suku ke-5 = 324. Jumlah 6 suku pertamanya yaitu ...
Penyelesaian
U3 = 36 --> ar2 = 36
U5 = 324 --> ar4 = 324
 
  
ar2 = 36
a(3)2=36
9a = 36
a = 4
 
  
Jadi, jumlah 6 suku pertamanya yaitu 1456
 
Demikianlah tadi terkena menyelesaikan soal barisan dan deret yang spesialuntuk diketahui dua sukunya, biar bermanfaa.
Tenang dan tidakboleh gelagapan hal itulah yang dilakukan apabila menemukan soal-soal menyerupai itu. Sebenarnya soal yang menyerupai disebutkan di atas sangat praktis diselesaikan. Kita sanggup memakai konsep penyelesaian dalam sistem persamaan linear dua variabel dalam menyelesaikannya kalau itu terkait soal barisan atau deret aritmetika dan memakai perbandingan terhadap dua suku apabila itu ialah soal-soal deret geometri. Lantas bagaimana caranya?
Nah, kini kita akan bahas problem tadi mulai dari barisan dan deret aritmetika. Sebelumnya kita harus mengingat kembali beberapa rumus dari barisan dan deret aritmetika yaitu rumus suku ke-n dan rumus jumlah n suku pertamanya
Rumus Suku ke-n (Un)
 Un = a + (n-1)b
 Rumus Jumlah n Suku Pertama (Sn)
 Sn = (n/2)(2a + (n-1)b)
 melaluiataubersamaini
a = suku pertama
b = beda
Selain, rumus di atas kita juga harus memahami konsep dalam menentukan penyelesaian dari sistem persamaan linear variabel yaitu dengan metode substitusi maupun eliminasi. Jika anda belum memahami maetode substitusi dan eliminasi atau mungkin lupa silahkan baca artikel Memilih Metode Yang Paling Cepat Dalam Menyelesaikan SPLDV. Selanjutnya kita eksklusif saja mempraktekan dalam penyelesaian soal barisan dan deret yang spesialuntuk diketahui dua sukunya
misal 1
Dari suatu barisan aritmetika diketahui suku ke-5 yaitu 22 dan suku ke-12 yaitu 57. Suku ke-15 barisan ini yaitu ...
Penyelesaian
U5 = 22 --> a + 4b = 22 .........1)
U12 = 57 --> a + 11b = 57 .......2)
Dari persamaan 1) dan 2) eliminasi a
Substitusi b = 5 ke persamaan 1)
a + 4(5) = 22
a + 20 = 22
a = 22 - 20
a = 2
Un = a + (n - 1)b
U15 = 2 + (15 - 1)5
= 2 + (14)5
= 2 + 70
= 72
Jadi, suku ke-15 barisan tersebut yaitu 72
misal 2
Diketahui suku ke-3 dan suku ke-8 suatu barisan aritmetika berturut-turut 2 dan -13. Jumlah 10 suku pertama deret tersebut yaitu ...
Penyelesaian
U3 = 2 --> a + 2b = 2 ............1)
U8 = -13 --> a + 7b = -13 .......2)
Dari persamaan 1) dan 2) eliminasi a

Substitusi b = -3 ke persamaan 1)
a + 2(-3) = 2
a - 6 = 2
a = 2 + 6
a = 8
Sn = (n/2)(2a + (n - 1)b)
S10 = (10/2)(2(8) + (10 - 1)(-3))
= 5(16 + 9(-3))
= 5(16 - 27)
= 5(-11)
= - 55
Jadi, jumlah 10 suku pertama deret tersebut yaitu -55
Untuk soal soal berkaitan dengan barisan dan deret geometri, kita juga harus mengingat kembali rumus-rumus yang dipakai dalam barisan dan deret geometri yaitu:
Rumus Suku ke-n (Un)
 Un = arn-1
 Rumus Jumlah n Suku Pertama
melaluiataubersamaini
a = suku pertama
r = rasio dari barisan
Untuk, menuntaskan problem barisan dan deret geometri yang spesialuntuk diketahui dua sukunya, kita sanggup memakai konsep perbandingan. Untuk lebih jelasnya perhatikan pola soal diberikut:
misal 1
Suku ke-3 dan suku ke-5 barisan geometri dengan suku-suku faktual berturut-turut yaitu 18 dan 162. Suku ke-8 barisan tersebut yaitu ...
Penyelesaian
U3 = 18 --> ar2 = 18
U5 = 162 --> ar4 = 162
ar2 = 18
a32=18
9a = 18
a = 2
Un = arn-1
U8 = 2 (3)8-1
= 2 (3)7
= 2 (2187)
= 4374
Jadi, suku ke-8 barisan tersebut yaitu 4374
misal 2
Diketahui suatu deret geometri memiliki suku-suku faktual , suku ke-3 = 36 dan suku ke-5 = 324. Jumlah 6 suku pertamanya yaitu ...
Penyelesaian
U3 = 36 --> ar2 = 36
U5 = 324 --> ar4 = 324
ar2 = 36
a(3)2=36
9a = 36
a = 4
Jadi, jumlah 6 suku pertamanya yaitu 1456
Demikianlah tadi terkena menyelesaikan soal barisan dan deret yang spesialuntuk diketahui dua sukunya, biar bermanfaa.





0 Response to "Menyelesaikan Soal Barisan Dan Deret Yang Hanya Diketahui Dua Sukunya"
Posting Komentar